切换至 "中华医学电子期刊资源库"

中华肝脏外科手术学电子杂志 ›› 2025, Vol. 15 ›› Issue (01) : 79 -88. doi: 10.3877/cma.j.issn.2095-3232.2026.01.013

临床研究

遗传学视角孟德尔随机化分析东亚人群肠道菌群与原发性肝癌因果关系
薛伟伟1, 杜凯豪1, 汪占金1, 东小鸽1, 何洁洁1, 罗兰明慧1, 蒋威1, 王展2,3,()   
  1. 1 810000 西宁,青海大学临床医学院
    2 810000 西宁,青海大学附属医院肝胆胰外科
    3 810000 西宁,青海大学附属医院医工结合与转化应用部
  • 收稿日期:2025-08-12 出版日期:2025-02-10
  • 通信作者: 王展
  • 基金资助:
    国家自然科学基金(82160131); 中国科学院“西部之光”青年学者项目

Mendelian randomization analysis of causal relationship between gut microbiota and primary liver cancer in East Asian population from the genetic perspective

Weiwei Xue1, Kaihao Du1, Zhanjin Wang1, Xiaoge Dong1, Jiejie He1, Minghui Rolan1, Wei Jiang1, Zhan Wang2,3,()   

  1. 1 Clinical Medical College of Qinghai University, Xining 810000, China
    2 Department of Hepatobiliary and Pancreatic Surgery, Qinghai University Affiliated Hospital, Xining 810000, China
    3 Transformation and Application of Engineering Medicine, Qinghai University Affiliated Hospital, Xining 810000, China
  • Received:2025-08-12 Published:2025-02-10
  • Corresponding author: Zhan Wang
引用本文:

薛伟伟, 杜凯豪, 汪占金, 东小鸽, 何洁洁, 罗兰明慧, 蒋威, 王展. 遗传学视角孟德尔随机化分析东亚人群肠道菌群与原发性肝癌因果关系[J/OL]. 中华肝脏外科手术学电子杂志, 2025, 15(01): 79-88.

Weiwei Xue, Kaihao Du, Zhanjin Wang, Xiaoge Dong, Jiejie He, Minghui Rolan, Wei Jiang, Zhan Wang. Mendelian randomization analysis of causal relationship between gut microbiota and primary liver cancer in East Asian population from the genetic perspective[J/OL]. Chinese Journal of Hepatic Surgery(Electronic Edition), 2025, 15(01): 79-88.

目的

通过孟德尔随机化(MR)方法探究东亚人群肠道菌群(GM)与原发性肝癌(PLC)之间的潜在因果关系。

方法

本研究遵循STROBE-MR指南,采用基于相关性、独立性和排他性假设的MR分析。暴露数据来自3 432名中国人的全基因组关联研究(GWAS)汇总数据,涵盖500种GM特征。PLC的数据来自日本数据库(n=161 323)和IEU open GWAS平台(n=197 611)。综合运用了逆方差加权法(IVW)、加权中位数法、MR-Egger法以及贝叶斯加权MR等多种方法,评估GM与PLC之间的因果关系。

结果

特定GM如SelenomonasPorphyromonas endodontalisGemella sanguinisClostridium butyricum与PLC风险的增加相关;而Alistipes shahiiBifidobacterium catenulatum-Bifidobacterium pseudocatenulatum复合群可能具有保护作用。多种MR分析方法的应用增强了研究结果的可靠性和稳健性。

结论

本研究从遗传学的角度揭示GM在PLC发生发展中作用,并突出了肠道微生物群在PLC发病机制中的关键作用。

Objective

To investigate the potential causal relationship between gut microbiota (GM) and primary liver cancer (PLC) in East Asian population by Mendelian randomization (MR) analysis.

Methods

This study was conducted following the STROBE-MR guidelines. MR analysis was performed based on the assumptions of relevance, independence and exclusion restriction. The exposure data were collected from genome-wide association study (GWAS) summary statistics in 3 432 Chinese, covering 500 GM features. The data of PLC were obtained from Japanese Database (n=161 323) and IEU Open GWAS platform (n=197 611). The inverse variance weighted (IVW), weighted median, MR-Egger and Bayesian weighted MR methods were used to evaluate the causal relationship between GM and PLC.

Results

Specific GM such as Selenomonas, Porphyromonas endodontalis, Gemella sanguinis and Clostridium butyricum were associated the increased risk of PLC. However, Alistipes shahii and Bifidobacterium catenulatum-Bifidobacterium pseudotenatum complex might exert protective effects. The application of multiple MR analysis methods enhanced the reliability and robustness of the research results.

Conclusions

This study provides novel understanding of the role of GM in the incidence and progression of PLC from the genetic perspective and highlights the key role of GM in the pathogenesis of PLC.

表1 东亚人群GM与PLC因果关系MR研究的GWAS数据信息
图1 东亚人群GM与PLC因果关系MR研究设计 注:MR为孟德尔随机化,IVW为逆方差加权法,weighted median为加权中位数法,MR-Egger为MR-Egger 回归方法,Simple Mode为简单模式法,Weighted Mode为加权模式法,MR-PRESSO为孟德尔随机化多态性残差和离群值检验,Cochran's Q为科克伦 Q检验,Leave-one-out为留一法,GM为肠道菌群
图2 东亚人群GM与PLC因果关系MR研究的阳性结果交集图 注:GM为肠道菌群,PLC为原发性肝癌,MR为孟德尔随机化,IVW为逆方差加权法,BWMR为贝叶斯加权孟德尔随机化,NBDC为日本国家生物科学数据中心,BBJ为日本生物银行
图3 东亚人群GM与PLC因果关系MR研究的6种阳性交集结果的IVW和BWMR结果 注:GM为肠道菌群,PLC为原发性肝癌,MR为孟德尔随机化,IVW为逆方差加权法,BWMR为贝叶斯加权孟德尔随机化,NBDC为日本国家生物科学数据中心,BBJ为日本生物银行
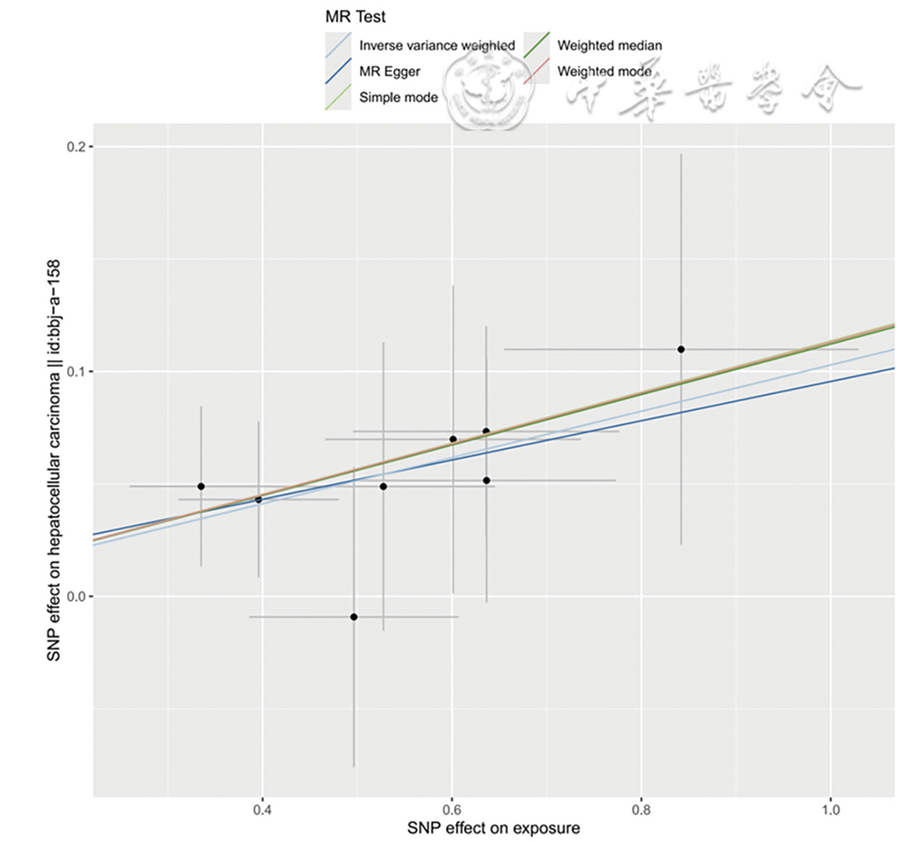
图4 BBJ中GM(log_s_Clostridium_butyricum)对PLC因果效应MR分析的散点图 注:BBJ为日本生物银行,SNP为单核苷酸多态性,exposure指暴露(GM),inverse-variance weighted为逆方差加权法,weighted median为加权中位数法,MR-Egger为MR-Egger 回归方法,simple mode为简单模式法,weighted weighted为加权模式法;散点图是暴露因素(肠菌)与结局(肝癌)因素之间的MR分析结果,每一个点代表了一个工具变量SNP,每个点上的线反映的是95%的置信区间,横坐标是SNP对暴露因素的效应,纵坐标是SNP对结局因素的效应,两个效应做比值,即暴露对结局的效应(斜率),若结果显示不同算法的线总体是同一方向的,则说明结果可靠;GM为肠道菌群,PLC为原发性肝癌,MR为孟德尔随机化
图5 BBJ中GM对PLC因果效应MR分析的留一法图 注:BBJ为日本生物银行,Leave-one-out为留一法,exposure指暴露(GM);留一法图是逐步剔除每个SNP,计算剩余SNP的Meta效应,观察剔除每个SNP后结果是否发生变化,如图剔除每个SNP后,总体的误差线变化不大(均在0的右侧),说明结果可靠;SNP为单核苷酸多态性,GM为肠道菌群,PLC为原发性肝癌,MR为孟德尔随机化
[1]
李亚楠, 陈斐斐, 田野, 等. 肠道菌群在原发性肝癌发生、发展中的研究进展[J]. 临床肿瘤学杂志, 2023, 28(7): 654-659.
[2]
Huang L, Yu Q, Peng H, et al. Alterations of gut microbiome and effects of probiotic therapy in patients with liver cirrhosis: a systematic review and meta-analysis[J]. Medicine, 2022, 101(51): e32335. DOI: 10.1097/MD.0000000000032335.
[3]
Chen D, Le TH, Shahidipour H, et al. The role of gut-derived microbial antigens on liver fibrosis initiation and progression[J]. Cells, 2019, 8(11): 1324. DOI: 10.3390/cells8111324.
[4]
Rumyantsev KA, Polyakova VV, Sorokina IV, et al. The gut microbiota impacts gastrointestinal cancers through obesity, diabetes, and chronic inflammation[J]. Life, 2024, 14(10): 1219. DOI: 10.3390/life14101219.
[5]
Vetrano E, Rinaldi L, Mormone A, et al. Non-alcoholic fatty liver disease (NAFLD), type 2 diabetes, and non-viral hepatocarcinoma: pathophysiological mechanisms and new therapeutic strategies[J]. Biomedicines, 2023, 11(2): 468. DOI: 10.3390/biomedicines11020468.
[6]
Scheithauer TPM, Rampanelli E, Nieuwdorp M, et al. Gut microbiota as a trigger for metabolic inflammation in obesity and type 2 diabetes[J]. Front Immunol, 2020, 11: 571731. DOI: 10.3389/fimmu.2020.571731.
[7]
Rasooly D, Patel CJ. Conducting a reproducible mendelian randomization analysis using the R analytic statistical environment[J]. Curr Protoc Hum Genet, 2019, 101(1): e82. DOI: 10.1002/cphg.82.
[8]
杜凯豪, 侯立朝, 罗兰明慧, 等. 孟德尔随机化在胰腺癌研究中的应用现状与展望[J]. 临床肝胆病杂志, 2024, 40(10): 2127-2136. DOI: 10.12449/JCH241033.
[9]
Ma J, Li J, Jin C, et al. Association of gut microbiome and primary liver cancer: a two-sample Mendelian randomization and case-control study[J]. Liver Int, 2023, 43(1): 221-233. DOI: 10.1111/liv.15466.
[10]
Ang QY, Alba DL, Upadhyay V, et al. The East Asian gut microbiome is distinct from colocalized White subjects and connected to metabolic health[J]. Elife, 2021, 10: e70349. DOI: 10.7554/eLife.70349.
[11]
Syromyatnikov M, Nesterova E, Gladkikh M, et al. Characteristics of the gut bacterial composition in people of different nationalities and religions[J]. Microorganisms, 2022, 10(9): 1866. DOI: 10.3390/microorganisms10091866.
[12]
Dwiyanto J, Hussain MH, Reidpath D, et al. Ethnicity influences the gut microbiota of individuals sharing a geographical location: a cross-sectional study from a middle-income country[J]. Sci Rep, 2021, 11(1): 2618. DOI: 10.1038/s41598-021-82311-3.
[13]
Liu X, Tong X, Zou Y, et al. Mendelian randomization analyses support causal relationships between blood metabolites and the gut microbiome[J]. Nat Genet, 2022, 54(1): 52-61. DOI: 10.1038/s41588-021-00968-y.
[14]
Ishigaki K, Akiyama M, Kanai M, et al. Large-scale genome-wide association study in a Japanese population identifies novel susceptibility loci across different diseases[J]. Nat Genet, 2020, 52(7): 669-679. DOI: 10.1038/s41588-020-0640-3.
[15]
Sakaue S, Kanai M, Tanigawa Y, et al. A cross-population atlas of genetic associations for 220 human phenotypes[J]. Nat Genet, 2021, 53(10): 1415-1424. DOI: 10.1038/s41588-021-00931-x.
[16]
Wang C, Zhu D, Zhang D, et al. Causal role of immune cells in schizophrenia: Mendelian randomization (MR) study[J]. BMC Psychiatry, 2023, 23(1): 590. DOI: 10.1186/s12888-023-05081-4.
[17]
Pierce BL, Ahsan H, Vanderweele TJ. Power and instrument strength requirements for Mendelian randomization studies using multiple genetic variants[J]. Int J Epidemiol, 2011, 40(3): 740-752. DOI: 10.1093/ije/dyq151.
[18]
Zheng J, Baird D, Borges MC, et al. Recent developments in mendelian randomization studies[J]. Curr Epidemiol Rep, 2017, 4(4): 330-345. DOI: 10.1007/s40471-017-0128-6.
[19]
Lin Z, Deng Y, Pan W. Combining the strengths of inverse-variance weighting and Egger regression in Mendelian randomization using a mixture of regressions model[J]. PLoS Genet, 2021, 17(11): e1009922. DOI: 10.1371/journal.pgen.1009922.
[20]
Zhao J, Ming J, Hu X, et al. Bayesian weighted Mendelian randomization for causal inference based on summary statistics[J].Bioinformatics, 2020, 36(5): 1501-1508. DOI: 10.1093/bioinformatics/btz749.
[21]
Xue H, Pan W. Inferring causal direction between two traits in the presence of horizontal pleiotropy with GWAS summary data[J]. PLoS Genet, 2020, 16(11): e1009105. DOI: 10.1371/journal.pgen.1009105.
[22]
Zhang X, Cong R, Geng T, et al. Assessment of the causal effect of IgG N-glycosylation level on risk of dementia: a 2-sample mendelian randomization study[J]. J Alzheimers Dis, 2022, 88(4): 1435-1441. DOI: 10.3233/JAD-220074.
[23]
Skrivankova VW, Richmond RC, Woolf BAR, et al. Strengthening the reporting of observational studies in epidemiology using mendelian randomization: the STROBE-MR statement[J]. JAMA, 2021, 326(16): 1614-1621. DOI: 10.1001/jama.2021.18236.
[24]
Bedu-Ferrari C, Biscarrat P, Langella P, et al. Prebiotics and the human gut microbiota: from breakdown mechanisms to the impact on metabolic health[J]. Nutrients, 2022, 14(10): 2096. DOI: 10.3390/nu14102096.
[25]
Al Bander Z, Nitert MD, Mousa A, et al. The gut microbiota and inflammation: an overview[J]. Int J Environ Res Public Health, 2020, 17(20): 7618. DOI: 10.3390/ijerph17207618.
[26]
Zheng Y, Li Y, Feng J, et al. Cellular based immunotherapy for primary liver cancer[J]. J Exp Clin Cancer Res, 2021, 40(1): 250. DOI: 10.1186/s13046-021-02030-5.
[27]
Huang PS, Wang LY, Wang YW, et al. Evaluation and application of drug resistance by biomarkers in the clinical treatment of liver cancer[J]. Cells, 2023, 12(6): 869. DOI: 10.3390/cells12060869.
[28]
Qin H, Yuan B, Huang W, et al. Utilizing gut microbiota to improve hepatobiliary tumor treatments: recent advances[J]. Front Oncol, 2022, 12: 924696. DOI: 10.3389/fonc.2022.924696.
[29]
Hizo GH, Rampelotto PH. The role of Bifidobacterium in liver diseases: a systematic review of next-generation sequencing studies[J]. Microorganisms, 2023, 11(12): 2999. DOI: 10.3390/microorganisms11122999.
[30]
Al-Sadi R, Dharmaprakash V, Nighot P, et al. Bifidobacterium bifidum enhances the intestinal epithelial tight junction barrier and protects against intestinal inflammation by targeting the toll-like receptor-2 pathway in an NF-κB-independent manner[J]. Int J Mol Sci, 2021, 22(15): 8070. DOI: 10.3390/ijms22158070.
[31]
Aghamohammad S, Sepehr A, Miri ST, et al. The potential role of Bifidobacterium spp. as a preventive and therapeutic agent in controlling inflammation via affecting inflammatory signalling pathways[J]. Lett Appl Microbiol, 2022, 75(5): 1254-1263. DOI: 10.1111/lam.13793.
[32]
Fu Y, Lyu J, Wang S. The role of intestinal microbes on intestinal barrier function and host immunity from a metabolite perspective[J]. Front Immunol, 2023, 14: 1277102. DOI: 10.3389/fimmu.2023.1277102.
[33]
He J, Zhang P, Shen L, et al. Short-chain fatty acids and their association with signalling pathways in inflammation, glucose and lipid metabolism[J]. Int J Mol Sci, 2020, 21(17): 6356. DOI: 10.3390/ijms21176356.
[34]
Parada Venegas D, De la Fuente MK, Landskron G, et al. Short chain fatty acids (SCFAs)-mediated gut epithelial and immune regulation and its relevance for inflammatory bowel diseases[J]. Front Immunol, 2019, 10: 277. DOI: 10.3389/fimmu.2019.00277.
[35]
Carretta MD, Quiroga J, López R, et al. Participation of short-chain fatty acids and their receptors in gut inflammation and colon cancer[J]. Front Physiol, 2021, 12: 662739. DOI: 10.3389/fphys.2021.662739.
[36]
Albuquerque-Souza E, Sahingur SE. Periodontitis, chronic liver diseases, and the emerging oral-gut-liver axis[J]. Periodontol 2000, 2022, 89(1): 125-141. DOI: 10.1111/prd.12427.
[37]
Imai J, Kitamoto S, Kamada N. The pathogenic oral-gut-liver axis: new understandings and clinical implications[J]. Expert Rev Clin Immunol, 2021, 17(7): 727-736. DOI: 10.1080/1744666X.2021.1935877.
[38]
Jia B, Jeon CO. Promotion and induction of liver cancer by gut microbiome-mediated modulation of bile acids[J]. PLoS Pathog, 2019, 15(9): e1007954. DOI: 10.1371/journal.ppat.1007954.
[39]
Sivaprakasam S, Prasad PD, Singh N. Benefits of short-chain fatty acids and their receptors in inflammation and carcinogenesis[J]. Pharmacol Ther, 2016, 164: 144-151. DOI: 10.1016/j.pharmthera.2016.04.007.
[40]
Maraki S, Plevritaki A, Kofteridis D, et al. Bicuspid aortic valve endocarditis caused by Gemella sanguinis: case report and literature review[J]. J Infect Public Health, 2019, 12(3): 304-308. DOI: 10.1016/j.jiph.2019.01.001.
[41]
Kim JH, Kwon HY, Durey A. Thrombophlebitis of superior mesenteric vein with bacteremia of Gemella sanguinis and Streptococcus gordonii[J]. J Microbiol Immunol Infect, 2019, 52(4): 672-673. DOI: 10.1016/j.jmii.2018.06.001.
[42]
Ariyoshi T, Hagihara M, Takahashi M, et al. Effect of Clostridium butyricum on gastrointestinal infections[J]. Biomedicines, 2022, 10(2): 483. DOI: 10.3390/biomedicines10020483.
[43]
Song Y, Lau HC, Zhang X, et al. Bile acids, gut microbiota, and therapeutic insights in hepatocellular carcinoma[J]. Cancer Biol Med, 2023, 21(2): 144-162. DOI: 10.20892/j.issn.2095-3941.2023.0394.
[44]
Jiménez C, Garrido M, Pussinen P, et al. Systemic burden and cardiovascular risk to Porphyromonas species in apical periodontitis[J]. Clin Oral Investig, 2022, 26(1): 993-1001. DOI: 10.1007/s00784-021-04083-4.
[45]
de Leeuw C, Savage J, Bucur IG, et al. Understanding the assumptions underlying mendelian randomization[J]. Eur J Hum Genet, 2022, 30(6): 653-660. DOI: 10.1038/s41431-022-01038-5.
[46]
Kern L, Abdeen SK, Kolodziejczyk AA, et al. Commensal inter-bacterial interactions shaping the microbiota[J]. Curr Opin Microbiol, 2021, 63: 158-171. DOI: 10.1016/j.mib.2021.07.011.
[1] 陈柳, 梁国骏, 陈玉书, 刘新桃. 孟德尔随机化研究职业性严寒暴露与冻结肩[J/OL]. 中华关节外科杂志(电子版), 2025, 19(05): 521-527.
[2] 刘新桃, 宋丽娟, 梁国骏, 杨逸禧, 陈柳. 脑沟形态特征与骨坏死风险的孟德尔随机化分析[J/OL]. 中华关节外科杂志(电子版), 2025, 19(05): 580-585.
[3] 华赟鹏. 自发性破裂肝细胞癌根治性切除术后腹腔热灌注化疗的疗效及化疗药物方案的比较分析:一项回顾性研究[J/OL]. 中华普通外科学文献(电子版), 2025, 19(05): 344-344.
[4] 汤乘, 瞿根义, 阳光, 徐勇, 江伟民. 基于GWAS数据库的2型糖尿病与勃起功能障碍两样本孟德尔随机化分析[J/OL]. 中华腔镜泌尿外科杂志(电子版), 2026, 20(01): 71-76.
[5] 孟泓宇, 戴锦辉, 胡嘉金, 李光辉. 炎性细胞因子与胰腺导管腺癌的因果关系:一项孟德尔随机化研究[J/OL]. 中华肝脏外科手术学电子杂志, 2025, 14(06): 948-955.
[6] 赵俊宇, 林航宇, 李会灵, 王显飞, 游川. 肝癌肝切除术后大量腹水预测模型的建立与验证[J/OL]. 中华肝脏外科手术学电子杂志, 2025, 14(05): 740-747.
[7] 王继才, 张广权, 吴芬芳, 史宪杰. 孟德尔随机化分析克罗恩病与非酒精性脂肪性肝病之间因果关系[J/OL]. 中华肝脏外科手术学电子杂志, 2025, 14(04): 601-608.
[8] 肖伟, 尹金焱, 殷剑, 孙俊刚. BMI与肩关节撞击综合征的因果关系:来自孟德尔随机化的证据[J/OL]. 中华肩肘外科电子杂志, 2025, 13(04): 218-225.
[9] 李冠奇, 汤嘉俊, 刘杰灵, 王方敏, 丁质钰, 彭毅, 王卫国, 苗惊雷, 陈世杰, 李劲松. 通过蛋白质性状位点分析揭示弥漫性特发性骨肥厚的潜在治疗靶点[J/OL]. 中华老年骨科与康复电子杂志, 2025, 11(06): 345-350.
[10] 张峥祥, 高龙, 李文. 柴胡疏肝散对胃食管反流病患者的效果及细胞因子、肠道菌群水平的影响[J/OL]. 中华消化病与影像杂志(电子版), 2025, 15(06): 590-593.
[11] 孙薇, 李昱儒, 郭永真, 赵楠. 糖尿病肾病患者微炎症状态和肠道菌群特征与胃肠功能障碍的关系[J/OL]. 中华消化病与影像杂志(电子版), 2025, 15(06): 594-598.
[12] 李姁, 冯中秋. HBV相关原发性肝癌患者经导管动脉化疗栓塞术后严重腹痛预测模型的构建及验证[J/OL]. 中华消化病与影像杂志(电子版), 2025, 15(05): 480-485.
[13] 杨彪, 魏新锁, 张雅淳, 王瑶. 组织蛋白酶与类风湿关节炎因果关系的双向孟德尔随机化研究[J/OL]. 中华临床医师杂志(电子版), 2025, 19(09): 689-695.
[14] 卫星彤, 李昊昌, 赵欣. 超声造影在鉴别诊断原发性肝癌类型上的研究进展[J/OL]. 中华临床医师杂志(电子版), 2025, 19(05): 392-396.
[15] 李波妮, 魏娟娟, 张翻翻. 白介素-6和补体1q对急性溃疡性结肠炎的诊断价值及其与肠道菌群的相关性分析[J/OL]. 中华卫生应急电子杂志, 2025, 11(05): 269-273.
阅读次数
全文


摘要


AI


AI小编
你好!我是《中华医学电子期刊资源库》AI小编,有什么可以帮您的吗?